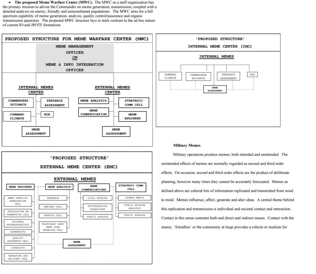
They thought they could shitpost.

Get replies from creators like Shitpostasaurs

thumb_upthumb_downchat_bubble
18upvotes
3reminds