@matheasysolutions
  • verified_user
·

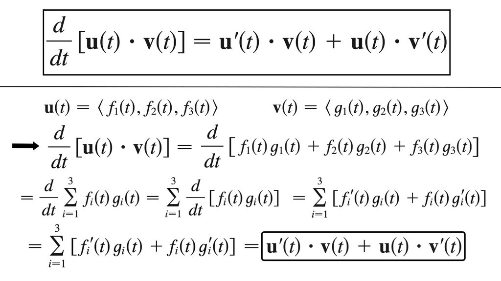
Proof of Formula 4: Derivative of Dot Product of Vector Functions https://youtu.be/WwRjxzFKnu0 #math #science #calculus #vectors #dotproduct

@matheasysolutions
  • verified_user
·
·

In this video I show how to obtain the parametric equations of a line that is tangent to a given point on a helix, whose parametric equations are also given. https://youtu.be/oCaIp1b-2N0 #math #helix #calculus #vectors #geogebra https://www.minds.com/newsfeed/1819886825443958784

infoThis video is no longer available.

Get replies from creators like Math Easy Solutions

thumb_upthumb_downchat_bubble
1quote